Atwood Machines
An Atwood Machine is a basic physics laboratory device often used to demonstrate basic principles of dynamics and acceleration. The machine typically involves a pulley, a string, and a system of masses. Keys to solving Atwood Machine problems are recognizing that the force transmitted by a string or rope, known as tension, is constant throughout the string, and choosing a consistent direction as positive. Let’s walk through an example to demonstrate.
Question: Two masses, m1 and m2, are hanging by a massless string from a frictionless pulley. If m1 is greater than m2, determine the acceleration of the two masses when released from rest.
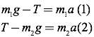
Answer: First, identify a direction as positive. Since you can easily observe that m1 will accelerate downward and m2 will accelerate upward, since m1 > m2, call the direction of motion around the pulley and down toward m1 the positive y direction. Then, you can create free body diagrams for both object m1 and m2, as shown below:
Using this diagram, write Newton’s 2nd Law equations for both objects, taking care to note the positive y direction:
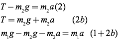
Next, combine the equations and eliminate T by solving for T in equation (2) and substituting in for T in equation (1).
Finally, solve for the acceleration of the system.
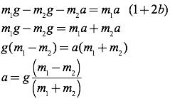
Alternately, you could treat both masses as part of the same system.
Drawing a dashed line around the system, you can directly write an appropriate Newton’s 2nd Law equation for the entire system.
Note that if the string and pulley were not massless, this problem would become considerably more involved.








