Newton's 2nd Law of Motion
Newton’s 2nd Law of Motion may be the most important principle in all of modern-day physics because it explains exactly how an object’s velocity is changed by a net force. In words, Newton’s 2nd Law states that “the acceleration of an object is directly proportional to the net force applied, and inversely proportional to the object’s mass.”
In equation form, you can express Newton’s 2nd Law as:
.
It’s important to remember that both force and acceleration are vectors. Therefore, the direction of the acceleration, or the change in velocity, will be in the same direction as the net force. You can also look at this equation from the opposite perspective. A net force applied to an object changes an object’s velocity (produces an acceleration), and is frequently written as:
.
You can analyze many situations involving both balanced and unbalanced forces on an object using the same basic steps.
- Draw a free body diagram.
- For any forces that don’t line up with the x- or y-axes, break those forces up into components that do lie on the x- or y-axis.
- Write expressions for the net force in x- and y- directions. Set the net force equal to ma, since Newton’s 2nd Law tells us that Fnet=ma.
- Solve the resulting equations.
Let’s take a look and see how these steps can be applied to a sample problem.
Question: A force of 25 newtons east and a force of 25 newtons west act concurrently on a 5-kilogram cart. Find the acceleration of the cart.
Step 1: Draw a free-body diagram (FBD).
Step 2: All forces line up with x-axis. Define east as positive.
Step 3: Fnet = 25N − 25N = ma
Step 4: 0 = ma ⇒ a=0Answer: The acceleration must be 0 m/s2.
Of course, everything you’ve already learned about kinematics still applies, and can be applied to dynamics problems as well.
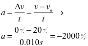
Question: A 0.15-kilogram baseball moving at 20 m/s is stopped by a catcher in 0.010 seconds. Find the average force stopping the ball.
Answer: First write down what information is given and what you’re asked to find. Define the initial direction of the baseball as positive.
Use kinematics to find acceleration.
The negative acceleration indicates the acceleration is in the direction opposite that of the initial velocity of the baseball. Now that you know acceleration, you can solve for force using Newton’s 2nd Law.
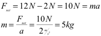
Question: Two forces, F1 and F2, are applied to a block on a frictionless, horizontal surface as shown below.
If the magnitude of the block’s acceleration is 2.0 meters per second2, what is the mass of the block?
Answer: Define left as the positive direction.
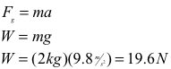
Question: What is the weight of a 2.00-kilogram object on the surface of Earth?
Answer: Weight is the force of gravity on an object. From Newton’s 2nd Law, the force of gravity on an object (Fg), is equal to the mass of the object times its acceleration, the acceleration due to gravity (9.81 m/s2), which you can abbreviate as g.
Question: A 25-newton horizontal force northward and a 35-newton horizontal force southward act concurrently on a 15-kilogram object on a frictionless surface. What is the magnitude of the object’s acceleration?
Answer:








