Continuity for Fluids
When fluids move through a full pipe, the volume of fluid that enters the pipe must equal the volume of fluid that leaves the pipe, even if the diameter of the pipe changes. This is a restatement of the law of conservation of mass for fluids.

The volume of fluid moving through the pipe at any point can be quantified in terms of the volume flow rate, which is equal to the area of the pipe at that point multiplied by the velocity of the fluid. This volume flow rate must be constant throughout the pipe, therefore you can write the equation of continuity for fluids (also known as the fluid continuity equation) as:
This equation says that as the cross-section of the pipe gets smaller, the velocity of the fluid increases, and as the cross-section gets larger, the fluid velocity decreases. You may have applied this yourself in watering the flowers with a garden hose. If you want increase the velocity of the water coming from the end of the hose, you place your thumb over part of the opening of the hose, effectively decreasing the cross-sectional area of the hose’s end and increasing the velocity of the exiting water!
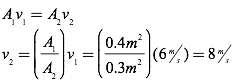
Question: Water runs through a water main of cross-sectional area 0.4 m2 with a velocity of 6 m/s. Calculate the velocity of the water in the pipe when the pipe tapers down to a cross-sectional area of 0.3 m2.
Answer:
Question: Water enters a typical garden hose of diameter 1.6 cm with a velocity of 3 m/s. Calculate the exit velocity of water from the garden hose when a nozzle of diameter 0.5 cm is attached to the end of the hose.
Answer: First, find the cross-sectional areas of the entry (A1) and exit (A2) sides of the hose.
Next, apply the continuity equation for fluids to solve for the water velocity as it exits the hose (v2).





